
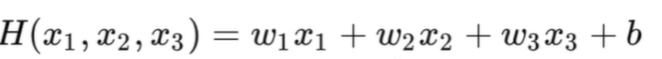
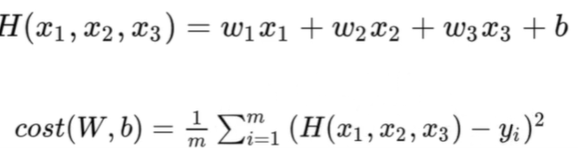
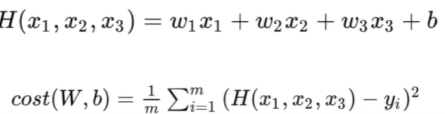
Hypothesis : 변수의 갯수만큼 가중치의 갯수가 늘어남.

Cost function:

변수의 갯수가 늘어나는 만큼 가중치가 늘어나는 문제점을 해결해야함.
데이터가 많아질 경우


x1, x2, x3: data, Y: Label(true value)
▶ 변수가 3개이기 때문에 weight 3개, 변수의 갯수에 따라 w값도 증가함.
→ 만약 data가 무한대로 증가할 경우 hypothesis를 계산하는데 어려움이 생길 수 있음.

Matrix

Matrix 사용
- x 매트릭스를 입력 받아 xw(매트릭스의 곱)로 간편히 사용할 수 있음.
- 데이터의 갯수가 많아도 동일하게 사용할 수 있음.
- 앞에있는 matrix의 열의 갯수와 뒤에 있는 matrix의 행의 갯수가 같아야 함.
- 데이터의 갯수와 무관.

※ 파이썬 slice 알아두기 !
X = data[:, :-1] 에서 마지막에서 한개의 데이터를 뺀 나머지 데이터임을 알 수 있음.
w = tf.Variable(tf.random.normal([3,1])) //출력이 1개임을 알 수 있음.
b = tf.Variable(tf.random.normal([1]))
def predict(x):
return tf.matmul(X, W) +b // +b 생략가능 !
Matrix를 사용하지 않으면 데이터 값이 늘어날 때마다 계속해서 W 값을 구해줘야 함

출처: 모두를 위한 딥러닝 시즌2 유튜브, 공식 사이트
'AI' 카테고리의 다른 글
| [Article] GRU & LSTM (0) | 2023.08.16 |
|---|---|
| 05 Logistic Regression (0) | 2021.03.30 |
| 02 Simple Linear Regression (0) | 2021.03.23 |
| 01 ML (0) | 2021.03.23 |