본문 바로가기

카테고리 없음

[자료구조]

clock()함수: 초 단위로 측정할 수 있는 함수 

time() 함수: 초 단위로 측정된 시간  반환. 

알고리즘 복잡도: Time Complecity고려 ( 기본적인 연산 몇번인지 ),, 수행시간이 입력의 크기에 따라 변하면 안됨. 입력에 상관없이 count할 수 있어야 함. 

 -  Time Complexity: 최고차항만 고려해서 계산하게 됨.

 

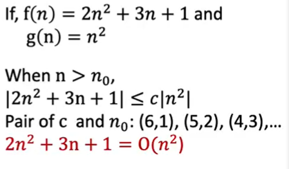
Big Oh 표기법 : 연산의 횟수를 대략적인 점근적으로 표기를 함.

g(n)이 f(n)의 상위값이라고 생각. 

 -  Big Oh 표기: 시간 복잡도에 굳이 영향을 안 주는 것들 생략, 시간 복잡도 간단하게 표현. 

   다항식의 최고차항만 남기고 버령, 최고차항의 계수도 버려 !! 

   but 때에 따라서 상수항, 계수가 영향 줄 수 있음: 매우 큰 수 일때, 100보다 클 때 !!

(예) f(n) = 5, O(1)

      f(n) = 2n + 1, O(n)